1、千眼狼高速成像技术在流体力学研究中的应用
带有自由界面大变形过程的流体动力学研究广泛应用于我们日常生活和工农业生产安全、现代高精制造技术中。但自由界面在极短时间内的剧烈变形对观测手段的时空分辨率提出了苛刻的要求,常规流体力学实验方法难以有效的观测记录。
华中科技大学科研人员在自由界面大变形演化的动力学机理及应用研究中,采用千眼狼高速摄像仪与高速成像技术搭建高速观测平台来验证实验数值模型准确性。通过理论分析、数值预测和实验验证相结合的研究体系,探究了自由界面大变形的特征及其动力学机理。(更多详情请见中国知网《自由界面大变形演化的动力学机理及应用研究》)
2、自由界面大变形演化的动力学机理研究实验
1/2.实验方法

图 撞击过程自由界面动态大变形观测实验系统
本次实验搭建液滴碰撞过程自由界面大变形实验观测系统,对自由界面大变形过程的特征分析全部基于高速摄像获得的液滴形貌进行图像处理获得。系统采用千眼狼5K20系列相机,以5000帧/秒的速度采集液滴与界面撞击瞬间。
2/2.二次微液滴喷射过程的自由界面大变形研究

图 润湿性对液滴铺展收缩过程的影响
通过高速观测平台观测了低惯性液滴冲击光滑表面的自由界面大变形过程。发现冲击惯性𝑊𝑒=26~54的液滴在部分润湿性表面上铺展收缩过程中,中心射流断裂形成二次微液滴喷射。

图 液滴铺展收缩动力学过程
基于液滴自由界面大变形形貌分析揭示了低惯性铺展模式下二次微液滴的发射机理和大变形过程中主要特征与惯性力的关系。中心射流断裂细节分析表明低惯性液滴铺展模式下二次微液滴发射的内在驱动因素是毛细表面波在液膜中的汇聚传播。

图 液膜收缩模式相图
液膜收缩动力学分析表明在中心射流形成前液膜厚度等于表面毛细波的波高,表面毛细波的等效直径线性递减;中心射流形成后,射流等效直径的扩张符合标度律。

图 液滴薄膜收缩过程中中心射流形成、断裂到二次微液滴弹射过程
对液膜收缩形成二次微液滴过程的主要特征的惯性影响分析表明,根据润湿界面接触粘性是否影响,动力学主要特征可以分为惯性不变特征和惯性变化特征。惯性不变特征包括归一化后退时间、中心射流喷射时间、顶尖形成时间、后退波特征波速和归一化射流高度、顶尖直径和液滴直径等。惯性变化特征包括归一化后退波高、顶尖高度和二次液滴速度、动能等。特征随惯性变化满足分段线性关系,转变极值发生在冲击惯性𝑊𝑒=40~42之间。
3/2.纳米颗粒对液滴自由界面大变形影响研究


图 银纳米流体冲击光滑基板的自由界面大变形演变数值模型验证
科研人员使用实验观测和SPH数值模拟相结合的方法研究纳米颗粒对液滴冲击固壁的自由界面大变形动力学过程,用SPH模拟结果与高速摄像仪拍摄的实验结果对比验证数值模型对纳米流体液滴的自由界面大变形过程的预测准确性。图3-1(a)和(b)分别展示了纳米流体液滴以韦伯数为5.12和44.37的惯性冲击光滑壁面的自由界面变形演化过程的实验与数值预测对比。发现SPH模型对液滴冲击过程中自由界面的形貌提供了较为准确的预测。

图 去离子水和纳米流体液滴丛集光滑壁面后的形貌演化对比
去离子水和纳米流体液滴的实验和模拟对比值都位于Y=X线附近,说明SPH模型对最大润湿系数的预测精度在可接受的范围内。在探究变形过程的影响机理,并根据数值模拟结果对含纳米颗粒的液滴在等温光滑壁面和伴随热输运的光滑壁面上的铺展润湿过程进行了详细分析。均匀分散的低体积浓度纳米流体满足牛顿流体特征。SPH数值模型可以准确的预测液滴形貌变化和接触线运动特征,最大润湿半径预测误差小于4%。


图 纳米流体液滴在光滑壁面上铺展过长液滴及内部速度矢量场
通过对纳米颗粒对液滴润湿行为的影响主要发生在接触线后退阶段,其机理为毛细流带动纳米颗粒在接触线附近累积,对接触线运动产生钉扎效应。纳米流体液滴在等温和加热光滑基板上的润湿过程进行了数值分析得到,纳米流体铺展过程中液滴内部始终保持层流,最大归一化润湿半径与韦伯数𝑊𝑒和雷诺数𝑅𝑒的拟合关系为:

热输运过程导致液滴内部形成层状温度分布,自然对流浮力改变了液滴底部层的局部速度场,但不影响液滴自由界面的变形。

图纳米流体液滴低惯性冲击80°C加热基板的自由界面大变形过程
液滴初始惯性的不同带来了两种不同的热分布模式,低惯性冲击下高温区位于润湿区中心,低温区位于接触线周围;较高惯性冲击下,冲击压迫使流体快速向四周铺展,高温区位于接触线附近,而低温区位于润湿区中心。
4/2.液滴微通道渗透过程的自由界面大变形研究

图 带油T型微通道基板的几何结构简图
基于T型微通道几何模型对伴随液滴铺展过程的微通道渗流过程进行了数值模拟,研究了渗流通过微通道节点的自由界面大变形动力学机理。通过高速摄像仪采集结果及液滴铺展过程惯性阶段的Power定律和粘性阶段的Tanner定律对比表明,SPH数值模型能够准确预测液滴润湿及微通道渗流过程的自由界面变形形貌。


图 液滴铺展SPH数值模型验证
科研人员从自由界面大变形角度分析,渗流液体在多孔介质的微通道中存在四种渗流模式。在疏水表面,液滴处于Cassie-Baxter状态,流体随着铺展进行退出 T 型微通道,形成回退模式。在亲水表面,不同冲击惯性力与毛细力作用下微通道节点处的自由液面进行阻尼谐振,根据谐振振幅依次出现悬垂或捕获(SOC)、非对称横向渗透(ATP)和对称横向渗透(STP)三种模式。

图 T形微通道中的液滴渗透模式
此外,分析了微通道孔径特征尺寸、基板表面润湿性和液滴冲击惯性对渗透模式转变的影响。结果表明增强润湿性会降低渗透模式转变所需要的惯性力;增大微通道孔径特征尺寸会提高渗透模式从悬垂或捕获(SOC)转变为非对称横向渗透(ATP)所需要的惯性力,降低从非对称横向渗透(ATP)转变为对称横向渗透(STP)所需要的惯性力。

图 横向渗透模式的实验观察
对液滴在并列 T 型微通道组成的多孔基板上的铺展渗透过程研究表明,随着冲击惯性增大,液滴在多孔基板中的渗透模式组合从单纯的SOC模式转变为ATP-SOC两层环形分布,最后转变为STP-ATP-SOC三层环形分布;增大孔隙率会抑制横向渗流蠕动,使横向渗透率出现轻微下降。


图 横向渗透机理与液滴在并列T型微通道孔板上的铺展
5/2.相变过程自由界面大变形研究
相变过程是典型的热流耦合仿真难题,热输运过程通过控制相态转变模式对自由界面大变形过程产生直接影响。在相变过程自由界面大变形研究中,科研人员选择石英玻璃电熔和液滴润湿高温基板两个典型过程研究了固液相变和液气相变两个自由界面大变形过程,分析了热输运对自由界面大变形过程的控制机理和参数化影响。针对固液相变,基于SPH-FEM耦合求解方法对石英玻璃电熔过程进行了数值模拟,根据模拟结果详细分析了石英熔化过程的相变模式演化。

图 石英玻璃电熔过程

图 模型验证
石英锭在环形加热模式下以整体坍塌形式进行自由界面变形,熔化结束时刻底部中心区域出现圆锥形不完全熔化夹杂。熔化过程中,不同热参数下石英内部存在两段式和连续式两种相变模式。提高初始温度促使固态石英转变为糊状石英,提高加热器温度促使糊状石英转变为熔融液体石英。提出热参数优化加底部加热器局部热场调节方案消除了不完全熔化夹杂。
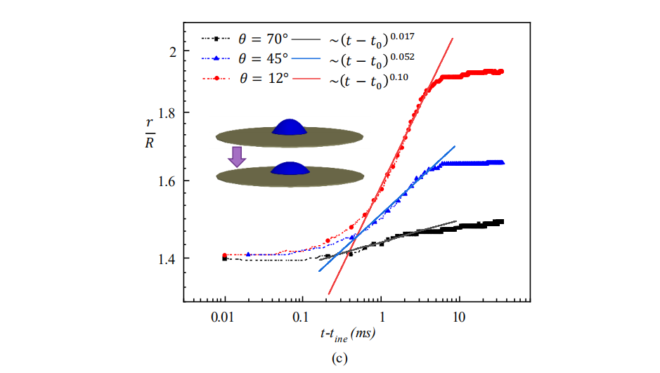
图液滴润湿加热基板(120°C)的自由界面大变形过程
针对液气相变,基于均匀混合物假设分析了含纳米颗粒的液滴润湿高温基板的蒸发沸腾过程。通过分析揭示了润湿过程中接触蒸发和回弹蒸发两种相变模式。提高加热温度相变模式从接触蒸发转变为回弹蒸发,而提高纳米颗粒体积浓度相变模式先从接触蒸发转变为回弹蒸发再变回接触蒸发。润湿过程液滴经历了铺展、收缩和最后蒸发消失三个阶段,蒸发速率的峰值发生在液滴收缩阶段。

图 液滴在高温加热基板上归一化润湿半径随时间变化规律
基于液滴自由界面大变形形貌分析揭示了低惯性铺展模式下二次微液滴的发射机理和大变形过程中主要特征与惯性力的关系。中心射流断裂细节分析表明低惯性液滴铺展模式下二次微液滴发射的内在驱动因素是毛细表面波在液膜中的汇聚传播。
3、实验结果
(1) 液膜收缩过程中中心射流和二次液滴喷射发生在液滴冲击部分润湿性表面且冲击惯性为韦伯数𝑊𝑒=26~54,其机理为表面毛细波汇聚挤压在液滴中心部位形成射流及顶尖结构,进而在Rayleigh-Plateau不稳定性作用下发生顶尖夹断,形成二次微液滴。
(2) 含纳米颗粒的液体冲击光滑表面过程中纳米颗粒会迟滞接触线后退,其机理为纳米颗粒在接触线附近累积,对接触线产生钉扎效应。
(3) 伴随铺展过程含T型微通道的基板中液滴前驱在通过通道节点时存在回退(Retraction)、悬挂或捕捉(SOC)、单边非对称(ATP)、双边对称(STP)四种渗透模式。增强润湿性会降低渗透模式转变所需要的惯性力;增大微通道孔径尺寸会提高渗透模式从 SOC转变为ATP所需要的惯性力,降低从 ATP 转变为STP所需要的惯性力。
(4) 以石英电熔和液滴润湿高温基板为例研究了固液相变和液气相变过程。电熔过程中石英锭在环形加热模式下整体坍塌,不同热参数下内部存在两段式和连续式两种熔化相变模式。熔化结束时,底部中心区域出现不完全熔化夹杂,提高加热器温度或降低初始温度有利于抑制这种不完全熔化。高温基板润湿过程中随着基板温度升高,液滴存在接触蒸发和回弹蒸发两种模式。润湿过程包括液滴铺展、收缩和蒸发消失三个阶段,蒸发速率的峰值发生在收缩阶段。
4、总结
实验结合理论分析、数值模拟和高速摄像仪观测平台对液滴冲击动力学、相变动力学过程中涉及的典型自由界面大变形问题进行了研究。千眼狼高速成像技术是科研可视化实验中研究瞬态过程最有效的工具之一,帮助科研人员加深对复杂物理现象的认知,发现新现象,提供新解释。(此文源自华中科技大学刘忠义博士)