1、窄矩形通道内的CHF机理模型研究
核电工程技术研究中,临界热流密度(CHF)是影响核电厂经济与安全运行的关键参数,因此了解窄矩形通道的CHF特性及探明CHF的发生机理,在进行反应堆安全分析和设计时尤其重要。为了深入研究窄矩形通道内临界热流密度发生机理及热工参数对CHF的影响,重庆大学科研团队通过千眼狼高速摄像机搭建可视化实验平台,进行窄矩形通道中的CHF实验,观测通道内汽泡运动过程和沸腾传热现象,进一步研究窄矩形通道内的CHF发生机理。(详情可见《基于汽泡动力学特性的窄矩形通道内的CHF机理模型》)
2、CHF实验方法
此次实验中设计并搭建了如图1所示的可视化实验平台。该平台主要由一次侧实验回路系统和二次侧回路系统组成,其中系统通过高速摄像机观察汽泡运动和沸腾过程,记录汽泡生长周期。

3、新建CHF机理模型
汽泡行为不仅受流动通道和加热壁面条件的限制,系统压力、气液流速、壁面温度和流体温度等都会对其产生影响。图2显示完整的汽泡周期信息,在汽泡生长周期中根据核化点是否有汽泡存在分为两个阶段:核化点处汽泡生长的生长阶段和孕育汽泡的等待阶段。当汽泡从加热壁面脱离后,核化点需要为下一个汽泡的产生做准备,直到下一个核化点汽泡产生后重复如上的汽泡周期。

通过可视化实验平台,科研团队发现在窄矩形通道中有两类汽泡,即浮升型汽泡和滑移型汽泡,在核态沸腾以及发生CHF时,两类汽泡也表现出不同的运动特性,因此实验建立了一个基于窄矩形通道中汽泡动力学特性的CHF机理模型。

4、热流密度的计算
1/4.浮升型汽泡热流密度
浮升型汽泡在核化点产生,汽泡寿期仅有几毫秒,滑移距离仅为几毫米,即汽泡寿期的运动距离较小但是直径变化速率大。汽泡整个生长周期可分为生长阶段和冷凝阶段。在生长阶段时,汽泡直径逐渐增大,在达到最大值后由于在过冷液体中的冷凝 而迅速塌陷。汽泡从加热壁面获得能量不仅要维持自身生长,而且要有一部分能量抵消汽泡顶部的冷凝换热,可以看出冷凝换热是通过汽泡作为媒介,是一种向冷流体输送能量的方式。本次实验主要关注加热壁面上的热流密度,因此浮升型汽泡的热流密度仅包括蒸发热流密度,其关系式为:

当热流密度较小时,浮升型汽泡独立生长,生长行为不受相邻汽泡的影响;当热流密度较大时,加热壁面过热度高,活化成核点更多,导致单个汽泡成核位置占据面积变小。如果单个成核点所占的面积(1/N)小于汽泡最大面积(A),则需考虑汽泡间的相互影响。用如下定义的因子来考虑热流密度较高时上述效应的影响:

当1/N>A时,加热壁上成核位置间距离大,浮升型汽泡行为彼此独立,不会受到其他汽泡的干扰。
2/4.滑移型汽泡热流密度
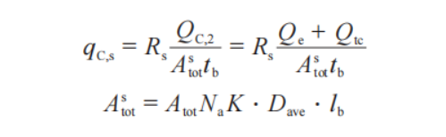
滑移型汽泡比浮升型汽泡具有更长的汽泡寿命周期、更长的滑移距离以及更小的直径变化速率;同时滑移型汽泡始终与加热壁面接触,即汽泡一直处于生长阶段,直径始终在缓慢增加。对于浮升型汽泡来说,不仅包括汽泡生长的蒸发热流密度,还包括汽泡从原位置脱离周围流体补充的瞬态导热热流密度,即:

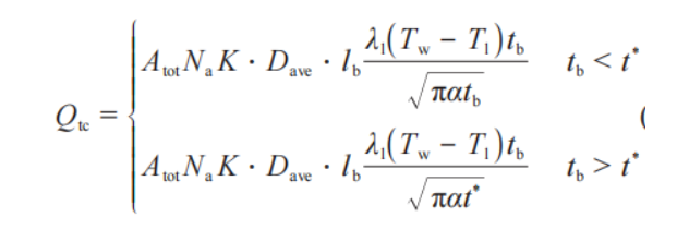
其中k是指汽泡沿加热壁滑动时的汽泡影响面积因子;l为汽泡滑动距离。对于小于t的时间,瞬态导热占主导地位,这时的瞬态导热可表示为:

滑移型汽泡数量会随着热工参数的变化,当热流密度逐渐增加,汽泡数目增加,单个汽泡在加热壁上的投影面积减小,汽泡之间的距离减小。汽泡离开原来的位置并滑动一段距离l,可能会与滑动路径中遇到的其他汽泡聚合。可采用滑移汽泡衰减因子来描述这一现象:

当D

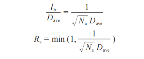
在汽泡等待时间内,热边界层逐渐变厚,直至完全形成。根据热传导理论,瞬态导热系数随时间的增加而减小,但对流换热系数与时间无关。因此,存在某一时刻使瞬态导热系数等于对流系数,图3可以说明这两个换热系数之间的关系。单相对流传热的区域包括两部分:第一部分始终处于单相的对流传热,即在总加热区域中除汽泡影响区外的区域;第二部分位于汽泡影响区域,即由于瞬态导热随时间的衰减,单相对流传热占主导地位的区域。

为进一步验证所提模型的合理性,图4研究了质量流速对CHF的影响,结果发现CHF随质量流速增加而增加,预测结果与实验结果一致。
6、总结
实验提出了一种适用于窄矩形通道的CHF机理模型,该模型通过高速摄像机可视化观察的实验现象和物理机制出发,解释了沸腾危机发生的机理。(此文源自重庆大学科研团队)