1、高速摄像机在流体动力学特性实验研究
千眼狼在流体力学研究中已有非常丰富的实战经验,多次分享气液两相流、固液两相流、气泡分析等研究案例。近年来,多相流技术研究广泛应用在化学工业、制药工业、生物科学、食品生产等工业过程中,而气液两相流混合是一种十分复杂的过程,众多学者对不同反应器内的气−液两相流动和传质方面进行了深入理论研究和工业化应用。
沈阳化工大学科研老师为进一步探究Lightnin静态混合器中气液两相混合过程的流动及气泡流特性,采用千眼狼高速摄像机与两相流分析技术,对Lightnin静态混合器内连续相水表观速度UL=0.071~0.127m/s和离散相空气表观速度UG=0.007~0.042m/s条件下两相流压降及气泡的尺寸分布特性进行研究。(详情可见《Lightnin静态混合器内气泡分散流体动力学特性实验研究》)
2、实验过程
1/2.实验方法
实验中采用的LSM物理模型如图1所示,LSM内混合元件由两个半椭圆形板和两个三角形板组成,相邻元件首尾交叉90°布置,强化段内含有10组混合元件,从下至上对混合元件进行编号。

图1 LSM混合元件结构
LSM内气液两相混合实验装置示意图如图2所示。气和液分别由无油空气压缩机和不锈钢多级离心泵输送。两相工作流体在喷射泵中初始预混合后由混合器的底部注入。实验使用千眼狼高速摄像机拍摄和捕捉静态混合器内气液两相流实验流场。

图2 LSM内气液两相流实验装置图
3、实验分析
2/3.静态混合器强化气泡分散
本实验以空气作为分散相,气相表观速度U范围为0.007~0.042m/s;水作为连续相,液相表观速度UL范围为0.071~0.127 m/s,对应的液相雷诺数范围为Re=7059~12706。平均气含率α表示整体气相体积分数,图3(a)为实验气相表观速度−液相表观速度−整体平均气含率的匹配关系三维图,由图可知平均气含率范围为5.26%~37.50%。

图3 实验操作条件
由于混合器内液相表面张力、曳力和重力等相互作用,在竖直管中形成不同的流型,这些流型决定了气液两相的混合效率及气泡的分布。实验进一步探索该流型对于含有强化元件的混合管内流型的适用性及混合元件对气泡群分散的强化特征。



图4、图5 UL=0.127 m/s和UG=0.007 m/s下LSM内不同测量窗口的气泡群分布
UL=0.071 m/s时不同气相表观速度下MW0652位置处的气泡群演化
图4和5分别揭示了在较低平均气含率和较高平均气含率下不同测量窗口中的气泡分布情况在低气含率(α=5.26%~18.18%)且液相表观速度UL>0.0855m/s时,气泡尺寸分布越来越小,且气泡形状主要为球形和帽形。随着平均气含率的增大,从图5可以看出LSM内流体的分割、径向混合和流体翻转之间的耦合作用仍对气泡的聚并有明显的抑制作用。同时,当液相表观速度UL不超过0.085m/s且平均气含率α高达26.47%~37.50%时,LSM内的气液两相流流型仍是泡状流,气泡均匀分布。显然,经典Hewitt-Roberts流型图不再适用静态混合器内流型,LSM静态混合器可以显著增强气液两相分散混合效果。
2/3.气泡群直径分布及LSM混合性能
采用两相流分析软件标定高速摄像机采集的灰度图片中气泡的直径,其标定单个像素的精度为152μm×148μm。通过两相流分析软件以每两度为间隔测量通过气泡质心的直径,并将这些过质心的直径平均值作为气泡的平均直径。本文以Sauter平均直径d来表征气泡群直径分布,定义为:

如图6所示,实验从LSM的底部对每组混合元件进行编号并对流场内的气泡直径进行标定。在相同气相表观速度下,LSM中的气泡直径随着混合元件数量和液相表观速度的增加而明显减小。

图6 气泡d32与混合元件数量的关系
对于气液两相流速差较小的情况下,LSM内的气泡d变化呈两种趋势。随着液相表观速度的增加,气泡d整体减小,在高雷诺数的情况下尤为明显。主要原因是气泡在较短的时间内被下游的LSM混合元件连续分割。同时,由于LSM内的流场剪切作用以及大气泡表面的不稳定和二次流涡的碰撞等因素导致气泡的破碎。另一方面,较小的气泡因相间表面张力较大而不易发生气泡聚并。

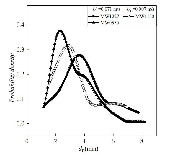
图7 不同轴向测量位置气泡直径概率密度分布
在气相表观速度UG=0.007m/s和液相表观速度UL=0.071m/s时,LSM三个测量位置处气泡d的概率密度分布如图7所示。随着混合元件的增加,气泡直径更小且分布更集中。这是因随着轴向测量位置的增加,增强了气泡与湍流涡的碰撞频率,增大了气泡的破碎程度,使气泡尺寸不断减小。在气相表观速度UG=0.007m/s和液相表观速度UL=0.071m/s时,LSM的三个测量位置处气泡d的概率密度分布。随着混合元件的增加,气泡直径更小且分布更集中。

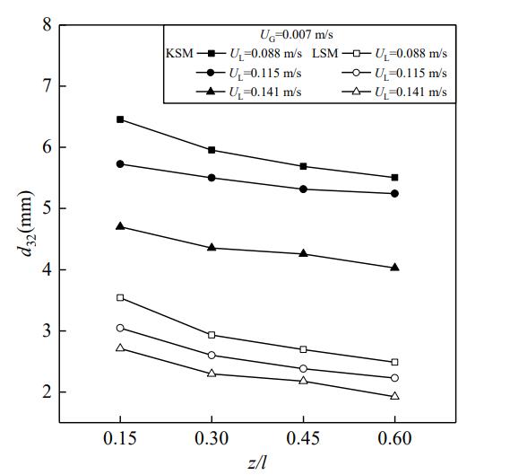
图8 KSM和LSM不同轴向位置d32对比
为了考察LSM相对于其它静态混合器在气液两相混合的优势,在相同混合长度和操作条件下,对KSM内的气液两相气泡流特性进行实验对比研究,得到了图8的对比结果。在相同表观速度下,KSM内的d随着轴向位置和液相表观速度的增加而逐渐减小。结果表明,LSM对气泡的分散和破碎的促进作用十分明显,d平均减小45.13%~55.23%。

图9 MW0935位置处d32分布及线性拟合
在对应于第4~6组混合元件的MW0935测量位置处,实验评估了LSM在相同气相表观速度和不同液相表观速度时气泡d的分布,如图9所示。随着液相表观速度的增大且远大于给定的气相表观速度时,气泡直径逐渐减小,二者之间存在近乎线性的关系,其经验拟合关系式为:



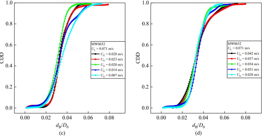
图10 LSM内概率和累积密度分布
图10表示当在MW0652测量位置处液相表观速度UL恒定为0.071m/s时,气相表观速度UG=0.007~0.042m/s下LSM内气泡dB的概率密度分布(PDD)和累积密度分布(CDD)。在图(a)中,PDD的波峰向左移动且变得高窄,这表明LSM内气泡dB随着气体表观速度的增加而逐渐减小,直到UG=0.028m/s。
实验证明:随着气相表观速度继续增加(UG=0.028~0.034m/s),PDD的波峰向右移动且变得矮胖,造成这个现象的原因是气泡的聚并大于破碎。由于湍动能增加,LSM内气泡dB的变化在UG>0.037m/s时逐渐趋于稳定。在(c)和(d)中,当UL=0.071m/s和UG=0.028m/s时,LSM内气泡dB达到局部最小值,气泡直径dB/D0˂0.02的概率为33%,0.02~0.05的概率为53%。当UL=0.071m/s和UG=0.007m/s时,气泡直径dB/D0在0~0.02、0.02~0.05和0.05~0.08范围内的概率分别为26%、43%和31%。在气泡直径dB/D0=0.07~0.08的大气泡直径范围内,曲线呈长尾状,表明有一部分气泡经历了聚并。曲线中气泡直径较小一侧的拖尾表明,LSM的分割、径向混合和流向改变等耦合作用在气泡群破碎过程中起着重要作用。
3/3.压降分析
压降作为评价静态混合器性能的重要指标,对于静态混合器选型以及所需能耗和使用成本都有重要影响。价静态混合器压降的方法有多种,摩擦系数就是表征压降的关键因素之一。

图11 摩擦系数随液体表观速度的变化
图11数据条件下,摩擦系数f随液体表观速度的变化。随湍流强度的增强,摩擦系数显著降低,与UG=0.042m/s相比,其余五种较小气相表观速度下LSM摩擦系数逐渐减小,是由于气相表观速度的增大显著增加了单位体积内气泡数量的密度函数,进而诱导气泡与元件表面发生碰撞,增大了旋涡二次流的强度。
4、实验结果
当条件UL<0.085m/s、UG=0.025~0.042m/s时,LSM内的流型为泡状流。随着气泡群流经混合元件数的增加,气泡群的Sauter平均直径d32逐渐减小。当液体表观速度UL≤0.085m/s时,Sauter平均直径d32随气体表观速度的增加先减小后增大;UG=0.028m/s时d32达到局部最小值,53%的气泡直径dB/D0在0.02~0.05范围内。Sauter平均直径、内径与无量纲停留时间τ之间的关系满足:

平均气含率α的增大显著增加了单位体积内气泡数量密度,加剧气泡与元件表面碰撞频率,增大旋涡二次流强度,导致摩擦系数显著降低采用Lockhart-Martinelli方法对实验数据回归,得到气液两相流压降预测常数C的关联式:

5、总结
流体力学中气液两相流是分散相和连续相共存的湍流分散多相流,具有很强的湍流相互作用,其混合是一种复杂的过程。近年来,众多学者也在超重力反应器、鼓泡塔、搅拌槽、流化床、微通道等不同反应器内进行研究应用。高速摄像机可以帮助科研人员清楚观察到更多两相流复杂的物理变化过程,发现并验证更多流体力学中的理论研究。(此文源自沈阳化工大学研究团队)